8月16号,材料科学及物理学领域的TOP期刊Nano Energy(IF:13.12)在线刊发了土木工程与力学学院胡元太教授课题组的最新研究成果“Adjustment and control on the fundamental characteristics of a piezoelectric PN junction by mechanical-loading(Nano Energy, Vol. 52: 416-421, 2018)”,胡元太教授为论文通讯作者,其博士生范帅棋和杨万里分别为第一、第二作者。
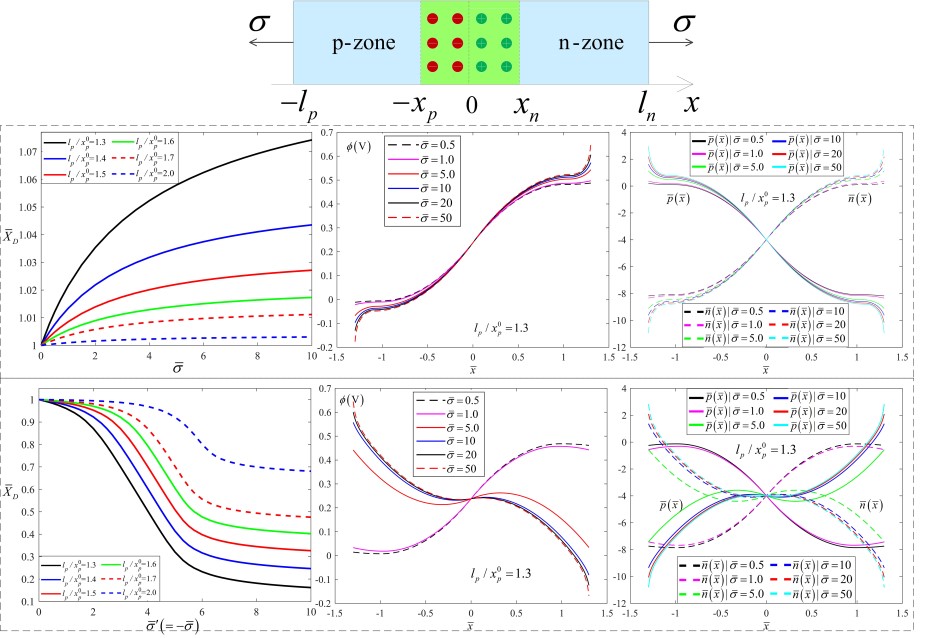
PN结是半导体物理的基本单元,开展这种典型结构的性能分析和控制对半导体器件新型功能的研发和设计具有重要意义。特别地,当PN结半导体材料具有压电特征时,外部加载/变形可导致结构内部出现极化电场,该极化电场会驱动载流子的运动或再分布,进而诱导PN结的基本特征发生改变。因此,借助外部机械加载,有望实现对压电半导体器件性能的调控。

胡元太教授等从力-电耦合理论出发,率先建立了力学场与电势场及载流子的耦合作用方程,给出了压电PN结电学性能与应力/变形之间的定量关系,这为利用机械加载实现对压电半导体器件性能调控提供了理论基础。进一步的研究分析表明,当张应力/变形诱导空间电荷区尺寸和接触电势差扩大时,边界处多子浓度升高而少子浓度降低,从而使得PN结势垒增高;反之,当压应力/变形诱导空间电荷区尺寸和接触电势差缩小时,边界处多子浓度降低而少子浓度升高,从而使得PN结势垒降低。研究还发现,机械加载点离空间电荷区越近,其调控效果越明显。
该工作得到国家自然科学基金和湖北省重点实验室项目的资助。
文章链接:https://authors.elsevier.com/c/1XZYZ7soS7qCdp